Экзаменационный (типовой) материал ЕГЭ / Биология / 05-06 задание / 54

ЕГЭ / Биология / 05-06 задание / 54 изображение 1

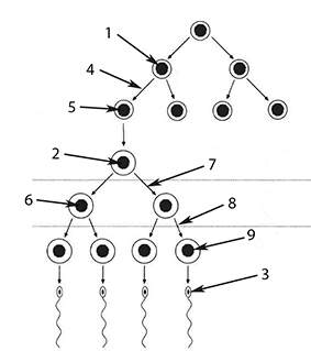
5. Каким номером на рисунке обозначено первое деление мейоза?

Ответ: ___________________________.

 

6. Установите соответствие между характеристиками и клетками, обозначенными цифрами на схеме выше: к каждой позиции, данной в первом столбце, подберите соответствующую позицию из второго столбца.

ХАРАКТЕРИСТИКИ КЛЕТКИ
А) клетка в зоне размножения
Б) клетка, вступающая в мейоз
В) клетка делится митозом
Г) сперматоцит первого порядка
Д) подвижная половая клетка
Е) в клетке происходит конъюгация хромосом

1)  1
2)  2
3)  3

Запишите в таблицу выбранные цифры под соответствующими буквами
 

Ответ:

А Б В Г Д Е
             

Подобные задания можно добавить в готовый типовой вариант и получить свой уникальный КИМ с ответами и критериями.

Создать готовые варианты