Экзаменационный (типовой) материал ВПР / Математика / 8 класс / 17 задание (25) / 18

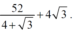
Найдите значение выражения ВПР / Математика / 8 класс / 17 задание (25) / 18 изображение 1

ВПР / Математика / 8 класс / 17 задание (25) / 18 изображение 2

Подобные задания можно добавить в готовый типовой вариант и получить свой уникальный КИМ с ответами и критериями.

Создать готовые варианты