Экзаменационный (типовой) материал ЕГЭ / База / 18 задание (24) / 105

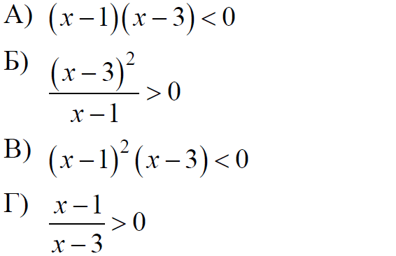
Каждому из четырёх неравенств в левом столбце соответствует одно из решений в правом столбце. Установите соответствие между неравенствами и их решениями.

НЕРАВЕНСТВА РЕШЕНИЯ
ЕГЭ / База / 18 задание (24) / 105 изображение 1 1) (1; 3)
2) (1; 3)∪(3; + ∞)
3) (−∞;1)∪(1; 3)
4) (−∞;1)∪(3; + ∞)

Впишите в приведённую в ответе таблицу под каждой буквой соответствующий номер решения.
 

Ответ: А Б В Г
         

Подобные задания можно добавить в готовый типовой вариант и получить свой уникальный КИМ с ответами и критериями.

Создать готовые варианты