Экзаменационный (типовой) материал ЕГЭ / База / 18 задание (24) / 106

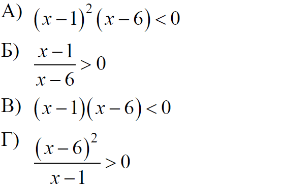
Каждому из четырёх неравенств в левом столбце соответствует одно из решений в правом столбце. Установите соответствие между неравенствами и их решениями.

НЕРАВЕНСТВА РЕШЕНИЯ
ЕГЭ / База / 18 задание (24) / 106 изображение 1 1) (1; 6)
2) (−∞; 1)∪(6; + ∞)
3) (−∞; 1)∪(1; 6)
4) (1; 6)∪(6; + ∞)

Впишите в приведённую в ответе таблицу под каждой буквой соответствующий номер решения.
 

Ответ: А Б В Г
         

Подобные задания можно добавить в готовый типовой вариант и получить свой уникальный КИМ с ответами и критериями.

Создать готовые варианты