Экзаменационный (типовой) материал ЕГЭ / База / 18 задание (24) / 109

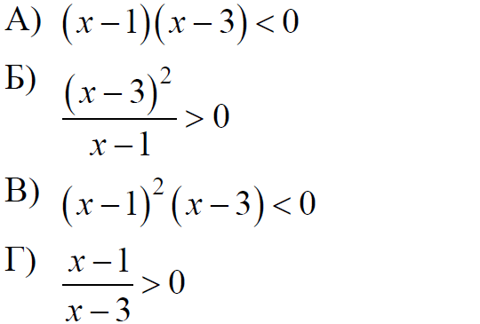
Каждому из четырёх неравенств в левом столбце соответствует одно из решений в правом столбце. Установите соответствие между неравенствами и их решениями.

НЕРАВЕНСТВА РЕШЕНИЯ
ЕГЭ / База / 18 задание (24) / 109 изображение 1 1) 1< x < 3
2) 1< x < 3 или x > 3
3) x <1 или 1< x < 3
4) x <1 или x > 3

Впишите в приведённую в ответе таблицу под каждой буквой соответствующий номер решения.
 

Ответ: А Б В Г
         

Подобные задания можно добавить в готовый типовой вариант и получить свой уникальный КИМ с ответами и критериями.

Создать готовые варианты