Экзаменационный (типовой) материал ЕГЭ / База / 18 задание (24) / 111

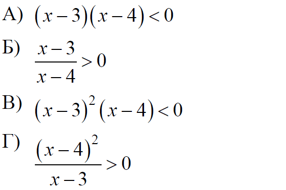
Каждому из четырёх неравенств в левом столбце соответствует одно из решений в правом столбце. Установите соответствие между неравенствами и их решениями.

НЕРАВЕНСТВА РЕШЕНИЯ
ЕГЭ / База / 18 задание (24) / 111 изображение 1 1) x < 3 или x > 4
2) 3 < x < 4 или x > 4
3) 3 < x < 4
4) x < 3 или 3 < x < 4

Впишите в приведённую в ответе таблицу под каждой буквой соответствующий номер решения.
 

Ответ: А Б В Г
         

Подобные задания можно добавить в готовый типовой вариант и получить свой уникальный КИМ с ответами и критериями.

Создать готовые варианты