Экзаменационный (типовой) материал ЕГЭ / База / 18 задание (24) / 112

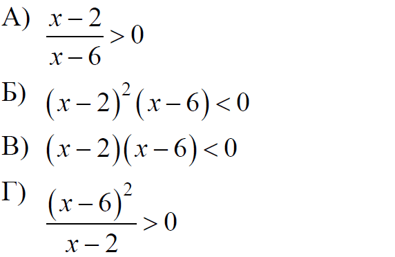
Каждому из четырёх неравенств в левом столбце соответствует одно из решений в правом столбце. Установите соответствие между неравенствами и их решениями.

НЕРАВЕНСТВА РЕШЕНИЯ
ЕГЭ / База / 18 задание (24) / 112 изображение 1 1) 2 < x < 6 или x > 6
2) x < 2 или 2 < x < 6
3) 2 < x < 6
4) x < 2 или x > 6

Впишите в приведённую в ответе таблицу под каждой буквой соответствующий номер решения.
 

Ответ: А Б В Г
         

Подобные задания можно добавить в готовый типовой вариант и получить свой уникальный КИМ с ответами и критериями.

Создать готовые варианты