Экзаменационный (типовой) материал ЕГЭ / База / 18 задание (24) / 118

На координатной прямой отмечены точки A, B , C и D .

ЕГЭ / База / 18 задание (24) / 118 изображение 1

Каждой точке соответствует одно из чисел в правом столбце. Установите соответствие между указанными точками и числами.

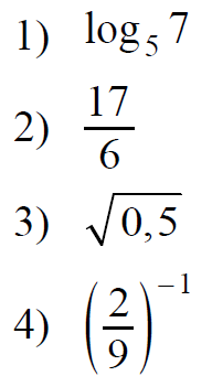
ТОЧКИ ЧИСЛА

A
B
C
D

ЕГЭ / База / 18 задание (24) / 118 изображение 2

Запишите в приведённой в ответе таблице под каждой буквой соответствующий числу номер.
 

Ответ: А Б В Г
         

Подобные задания можно добавить в готовый типовой вариант и получить свой уникальный КИМ с ответами и критериями.

Создать готовые варианты