Экзаменационный (типовой) материал ЕГЭ / База / 18 задание (24) / 121

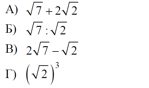
Каждому из четырёх чисел в левом столбце соответствует отрезок, которому оно принадлежит. Установите соответствие между числами и отрезками из правого столбца.

ЧИСЛА ОТРЕЗКИ
ЕГЭ / База / 18 задание (24) / 121 изображение 1 1) [1; 2]
2) [2; 3]
3) [3; 4]
4) [5; 6]

Впишите в приведённую в ответе таблицу под каждой буквой соответствующий отрезку номер.
 

Ответ: А Б В Г
         

Подобные задания можно добавить в готовый типовой вариант и получить свой уникальный КИМ с ответами и критериями.

Создать готовые варианты