Экзаменационный (типовой) материал ЕГЭ / База / 18 задание (24) / 129

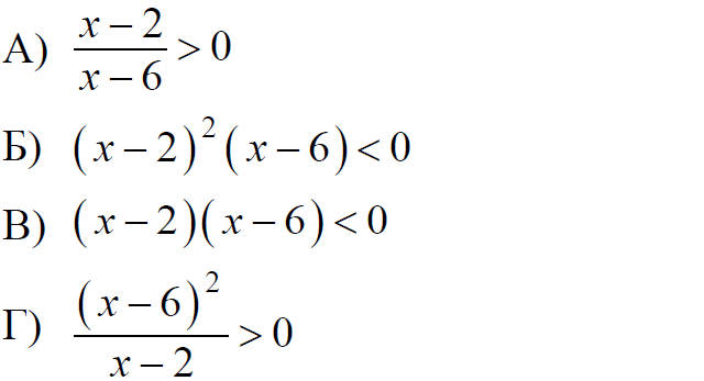
Каждому из четырёх неравенств в левом столбце соответствует одно из решений в правом столбце. Установите соответствие между неравенствами и их решениями.

НЕРАВЕНСТВА РЕШЕНИЯ

ЕГЭ / База / 18 задание (24) / 129 изображение 1

ЕГЭ / База / 18 задание (24) / 129 изображение 2

Впишите в приведённую в ответе таблицу под каждой буквой соответствующий решению номер.
 

Ответ: А Б В Г
         

Подобные задания можно добавить в готовый типовой вариант и получить свой уникальный КИМ с ответами и критериями.

Создать готовые варианты