Экзаменационный (типовой) материал ЕГЭ / База / 18 задание (24) / 140

На координатной прямой отмечено число m и точки A, B , C и D .

ЕГЭ / База / 18 задание (24) / 140 изображение 1

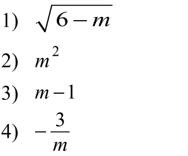
Каждой точке соответствует одно из чисел в правом столбце. Установите соответствие между указанными точками и числами.

ТОЧКИ ЧИСЛА

A
B
C
D

ЕГЭ / База / 18 задание (24) / 140 изображение 2

В таблице для каждой точки укажите номер соответствующего числа.
 

Ответ: А Б В Г
         

Подобные задания можно добавить в готовый типовой вариант и получить свой уникальный КИМ с ответами и критериями.

Создать готовые варианты