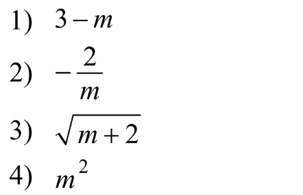
На координатной прямой отмечены точки A, B , C и D .

Число m равно \(-\sqrt{2,2}\) .
Каждой точке соответствует одно из чисел в правом столбце. Установите соответствие между указанными точками и числами.
| ТОЧКИ | ЧИСЛА |
|
A |
![]() |
В таблице для каждой точки укажите номер соответствующего числа.
| Ответ: | А | Б | В | Г |
Подобные задания можно добавить в готовый типовой вариант и получить свой уникальный КИМ с ответами и критериями.