Экзаменационный (типовой) материал ВПР / Математика / 7 класс / 12 задание (25) / 11

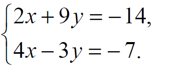
Решите систему уравнений

ВПР / Математика / 7 класс / 12 задание (25) / 11 изображение 1

ВПР / Математика / 7 класс / 12 задание (25) / 11 изображение 2

Подобные задания можно добавить в готовый типовой вариант и получить свой уникальный КИМ с ответами и критериями.

Создать готовые варианты